- High Purity Sucrose Ester Of Fatty Acids
- Sucrose Ester Of Fatty Acids S-CM
- Sucrose Ester Of Fatty Acids
- Compound Food Additive
- 2,3,4,6-Tetra-O-Benzyl-D-Glucopyranose
- 2,3,4,6-Tetra-O-Benzyl-D-Galactose
- Mono-Acetone-D-Glucose
- Diacetone-D-Glucose
- Methyl?α-D-Mannopyranoside
- 1,2,3,4-Tetra-O-acetyl-β-D-glucuronic acid methyl ester
Food Additive
High Purity Sucrose Ester Of Fatty Acids
Synose sucrose fatty acid ester is made from natural sucrose and fatty acids, which derived from vegetable oil. It is synthesized by solvent-free method, with the process of refining and purification.
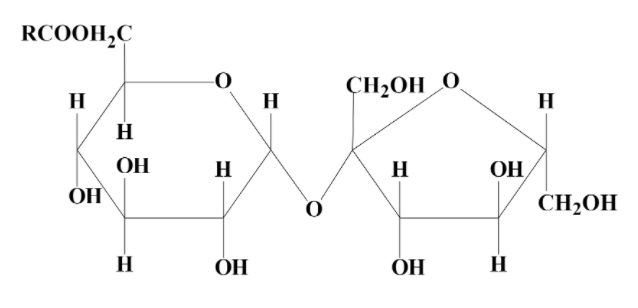
1. Chemical structure
The sucrose molecule contains eight hydroxyl groups and can combine with fatty acids to form sucrose esters from mono-fatty acids to octa-fatty acids. Its chemical structure is as follows: |
.png)
2. Characteristic features:
2.1 White to light yellow powder, tasteless or slightly lipid taste, it is dispersible or dissolved in water, and easily soluble in organic solvents such as hot ethanol.
2.2 Sucrose fatty acid ester is a non-ionic surfactant, which is stable under weak acid or weak base conditions. It contains a strong hydrophilic sucrose hydroxyl group and a lipophilic fatty acid group, so it is an excellent emulsifier.
2.3 It is non-toxic, can be decomposed into sucrose and fatty acids, and absorbed in the body, it is safe to eyes, skin and mucous membranes, and is suitable to use in food, pharmaceuticals and cosmetics.
2.4 It has excellent biodegradability, the degradation products are harmless and will not cause environmental pollution.
2.5 Compared with other edible emulsifiers, it has a wider HLB value (1-16) and has good functional properties. It has good synergistic compatibility when used together with other surfactants.
3. Types of Synose Sucrose ester
|
Product |
Synose type |
HLB |
Mono-ester |
Appearance |
|
Sucrose stearate |
S-10 |
1 |
approx.1% |
powder or granule |
|
S-20 |
2 | approx.10% | powder or granule | |
|
S-30 |
3 |
approx.20% |
Powder |
|
|
S-50 |
5 |
approx.30% |
Powder |
|
|
S-70 |
7 |
approx.40% |
Powder |
|
|
S-90 |
9 |
approx.50% |
Powder |
|
|
S-110 |
11 |
approx.55% |
Powder |
|
|
S-150 |
15 |
approx.70% |
Powder |
|
|
S-160 |
16 |
approx.75% |
Powder |
|
|
S-180 |
18 |
approx.85% |
Powder |
|
|
Sucrose palmitate |
P-10 |
1 |
approx.1% |
powder or granule |
| P-50 | 5 | approx.30% | Powder | |
|
P-150 |
15 |
approx.70% |
Powder |
|
|
P-160 |
16 |
approx.75% |
Powder |
|
|
P-180 |
18 |
approx.90% |
Powder |
|
|
S-CM |
11 |
approx.55% |
Powder |
4. Synose Sucrose ester specification:
|
ITEM |
INTERNAL CONTROL STANDARD |
China |
JAPAN |
EU |
JECFA |
CP |
USP |
EP |
|
|
Assay,% ≥ |
80 |
— |
— |
80 |
80 |
— |
— |
— |
|
|
Acid value(mg KOH/g)≤ |
5.0 |
6.0 |
6.0 |
— |
6.0 |
5.0 |
6.0 |
6.0 |
|
|
Free fatty acid,%≤ |
— |
— |
— |
3.0 |
— |
— |
— |
— |
|
|
Free Sucrose, %≤ |
5.0 |
10.0 |
5.0 |
5.0 |
5.0 |
4.0 |
4.0 |
4.0 |
|
|
Water, %≤ |
3.0 |
4.0 |
4.0 |
— |
— |
3.0 |
4.0 |
4.0 |
|
|
Ignition residue, % ≤ |
1.5 |
4.0 |
2.0 |
2.0 |
2.0 |
1.5 |
1.5 |
1.5 |
|
|
Arsenic, mg/kg ≤ |
1 |
1 |
3 |
3 |
— |
1 |
— |
— |
|
|
Heavy metals(as Pb), mg/kg ≤ |
— |
— |
— |
— |
— |
20 |
— |
— |
|
|
Lead, mg/kg≤ |
2 |
2 |
2 |
2 |
2 |
— |
— |
— |
|
|
Dimethylformamide, mg/kg ≤ |
— |
— |
1.0 |
1.0 |
1.0 |
— |
— |
— |
|
5. Application:
5.1 HLB value (5-16) hydrophilic sucrose fatty acid ester
In order to make a good solution or dispersion of our sucrose ester in water, first, dry-blend our product with soluble powder totally, and then add necessary quantity of water to the mixed powder and heat to 70℃;
Or add small quantity of water to our sucrose ester to make it swollen first, then add necessary quantity of water to the swollen paste. This product is not suitable for directly adding to hot water, so as to avoid lumping and prolong the dissolution time, which may result in product performance degradation.
5.2 HLB value (1-5) lipophilic sucrose fatty acid ester
Mixed and dispersed with a small amount of oil, heated to 70°C , and then added to the remaining oil.
Note: Synose sucrose fatty acid ester S-50 product can be dissolved both in water and oil.
6. Uses and Functions:
|
Application |
Synose Sucrose Ester |
Effects |
||||
|
Type |
Dosage(%) |
|||||
|
Food additives |
||||||
|
(1)Drinks |
||||||
|
Milk beverages (configuration milk- beverages, lactic acid bacteria beverages) |
S-110~S-160 ,P-150 |
0.01%~0.15% |
Reduce fat floating, inhibit protein thermal denaturation and precipitation. |
|||
|
Vegetable protein drinks (soy milk, peanut milk, walnut milk, almond milk) |
S-50,S-110, P-70~P-150 |
0.02%~0.15% |
Reduce fat floating, inhibit protein thermal denaturation and precipitation. |
|||
|
Tea beverage, coffee beverage |
S-CM,S-160, P-150, P-160 |
0.03%~0.15% |
Inhibit the reproduction of heat-resistant spores and reduce flat-sour Spoilage Reduce fat floating, inhibit protein thermal denaturation and precipitation. |
|||
|
S-50, S-110~S-160 |
0.02%~0.15% |
Reduce fat floating, inhibit protein thermal denaturation and precipitation. |
||||
|
Powder drink |
S-110,S-150, P-150,P-160 |
0.02%~0.12% |
prevent caking, enhance the solubility and dispersibility |
|||
|
functional beverage |
P-180 |
0.01%~0.05% |
cover the surface of oil-soluble nutrient fortifier, promote the dissolution in water, improve the transparency of the drink, and play a role in solubilization. At the same time, it can inhibit the propagation and growth of acidophilic bacteria in the acid functional drink, and anti-bacteriostatic. |
|||
|
(2)Dairy products |
||||||
|
Modulated milk |
S-50,S-110, P-70~P-150 |
0.02%~0.15% |
Reduce fat floating, inhibit protein thermal denaturation and precipitation. |
|||
|
Whipping Cream , similar products |
S-30~S-160 P-70~P-150 |
0.05%~0.30% |
prevent the separation of oil from water and oil crystallization Improve product stability |
|||
|
Ice cream, ice cream |
S-110~S-160 |
0.01%~0.10% |
Improve product stability. Inhibit generation of ice crystal , bring smooth eating texture. |
|||
|
(3)Bakery |
||||||
|
Cake |
S-110~S-160, P-70,P-160 |
0.2%~0.5% (In flour) |
Improve inner structure, brings delicate and soft taste. Improve water holding capacity, prevent starch retrogradation and prolong the storage time. |
|||
|
Cake emulsifier (SP etc.) |
S-110,S-150 |
6-12% |
Provide emulsifying and dispersing ability and maintain the stability of the foam.. |
|||
|
Bread |
S-110~S-160, P-150,P-160 |
0.2%~0.5% (In flour) |
Improve the mechanical resistance of flour dough in kneading, Increase the bread volume, soften the bread crumbs, and make the internal structure uniform. .Maintain the softness of bread crumbs after baking, prevents starch retrogradation, and extend the shelf life. |
|||
|
Frozen dough for bread |
S-150,S-160, P-150,P-160 |
0.2%~0.5% (In flour) |
Stabilize the internal structure after freezing and thawing, make soft after baking. |
|||
|
Cookies, crackers |
S-50-S-160, P-70,P-160 |
0.2%~0.5% (In flour) |
Prevent starch retrogradation and fat oozing out, extend the shelf life. Increase the volume after baking, enhance the crispness. |
|||
|
(4)Fats, oils and emulsified fat products |
||||||
|
Margarine, shortening |
S-10~S-30 |
0.10%~0.50% |
Promote crystallization of fats, make solid fat crystals fine, and prevent sand-like crystals. |
|||
|
Whipped cream |
S-10~S-50, S-110~S-160 |
0.10%~0.50% |
Provide emulsifying and stabilizing ability, prevent water-separation ,shorter whipping time, ,enhance stand-up quality |
|||
|
Liquid creamer, baking conditioning oil, etc. |
S-110~S-160 |
0.05%~0.30% |
Provide emulsifying and stabilizing ability and prevent oil-water separation. |
|||
|
(5)Candy, chocolate and chocolate products |
||||||
|
Hard candy, toffee candy, caramel candy, inflatable candy |
S-50, S-70, S-110,P70 |
0.10%~0.50% |
Makes good mixing of molten sugar and fat, prevent adheres ion to equipment and wrapping paper. Gives crispness to the hard candy. S-70: improve the chewiness of soft candy S-50.S-110: for special products. |
|||
|
Gum-based candy (Chewing gum, bubble gum) |
S-30~S-110 P-70~P-110 |
Gum base:1%~5%; chewing gum:0.1~0.5% |
Improve the softness, plasticity, good mixing of the gum base and prevents adheres ion to equipment; prevent sticking of teeth. Improve the emulsifying and dispersing ability of flavoring and retain the fragrance longer. |
|||
|
Tablet candy |
S-30,S-50, S-110 |
0.20%-0.80% |
Prevent powder from caking, improve the fluidity, enhance the uniformity and compressibility of powder mixing, give the product good gloss and hardness, and increase the yield. S-110: Used in effervescent tablet for instant dissolution and dispersion. |
|||
|
Chocolates |
S-10~S-50 |
0.20%~0.50% |
Prevents blooming and fat-crystallization. Reduce viscosity, improve operability, give products good gloss, hardness, and improve taste and heat resistance. |
|||
|
Confectionery and chocolate product coating |
S-50,S-70, S-110 |
0.3%~1.0% |
Improve the whiteness of sugar coating, easy to color, bright appearance and good gloss. |
|||
|
(6)Cereals |
||||||
|
Raw wet noodle products (noodles, dumpling skin, wonton skin) |
S-110~S-160, P-70~P-160 |
0.2%~0.5% (In flour) |
Prevent the raw materials adhering to the equipment, increase the water absorption and increase the output by inhibiting starch precipitation into boiling water when cooked. Improve gloss. |
|||
|
Instant rice noodle products (instant noodles) |
S-110,S-150 |
0.2%~0.5% (In flour) |
Improve the ductility of the dough, prevent the noodles from adhering to each other, shorten the time to soft the noodles in hot water. |
|||
|
Instant rice noodle products (instant rice) |
S-110~S-160 |
0.2%~0.5% (In raw rice) |
To prevent the starch from regenerating, makes rice soft after heating |
|||
|
(7)condiment |
||||||
|
Instant curry, curry seasoning block |
S-50,S-70 P-70,P-90 |
0.10%~0.30% |
Improve the mixing of raw materials, prevent adhesion to machinery, and improve emulsification and dispersibility during cooking. |
|||
|
Salad dressing, mayonnaise, sweet noodle sauce, etc. |
S-50~S-160 P-70~P-150 |
0.10%~0.30% |
Promote water and oil emulsification, prevent white sugar crystals from separating out, prevent protein aggregation and precipitation, and improve the emulsification stability of the product. |
|||
|
Spices and other powders |
S-10~S-50 |
0.05%~0.30% |
Improve powder fluidity, prevent moisture absorption and caking, and improve dispersibility in water. |
|||
|
(8)Other uses |
||||||
|
Meat Enema |
S-30~S-160 P-70~P-160 |
0.05%~0.15% |
Improve water holding capacity and elasticity of meat . prevent oil -separation . |
|||
|
Compound enzyme preparation (compound TG enzyme, compound pectinase, etc.) |
S-CM, S-110~S-160, P-150,P-160, P180 |
3%-10% |
Promote the combination of enzyme preparations with soybean protein and sodium caseinate to disperse and solubilize; prevent oil separation in product such as meat products. |
|||
|
Emulsified natural pigments, emulsified flavors |
S-110~S-160, P-150,P-160, P180 |
0.1%~1.0% |
Used in oil-soluble spices, oil-soluble vitamins,antioxidants,, etc., to improve dispersion and solubilization . |
|||
|
Pharmaceutical Excipients |
||||||
|
Ointment, tablet, emulsion and suppository etc. |
S-10~S-160 |
— |
Used as emulsifying stabilizer or dispersant and solubilizer , improve the processability And also as lubricant, disintegrat, binder and filler to increase absorption and bioavailability of pharmaceutical. |
|||
|
Ointment base |
S-30~S-150 |
0.5%~5.0% |
Used as emulsifier and thickener in O/W or W/O based ointment S-150: when used in O/W based ointment , it also has good moisturizing effect and excellent washable property. |
|||
|
Emulsion,polyphase liposome |
S-30~S-150 |
0.5%~5.0% |
Used as emulsifier and thickener in O/W or W/O based Emulsion and polyphase liposome. It’s especially suitable for oral dosage due to it’ odorless and tasteless |
|||
|
Microemulsion, Microemulsion-based transdermal drug delivery system |
S-30~S-150 |
0.5%~5.0% |
reduce surface tension ,Form the interface membrane, promote the formation of microemulsion, promote the drug transdermal absorption |
|||
|
Suppository base |
S-30~S-150 |
0.2%~5.0% |
Improve the processing performance, keep no mucous membrane, cracking and cavitation, improve the disintegration, release performance and improve the bioavailability of drugs, no stimulation to mucous membrane. |
|||
|
Tablet, lubricant |
S-30 |
0.5%~5.0% |
Prevent the raw material caking, improve the fluidity, increase the compressibility of powder, reduce the bond, and make the surface of the product with luster, increase yield , improve the disintegration |
|||
|
Industrial Application |
||||||
|
Textile |
S-10~S-160 |
0.2%~1.0% |
Used as soft finishing agent and antistatic agent for various kinds of textiles. |
|||
|
Plastics |
S-30~S-70 |
0.2%~1.0% |
Used as safety additive of food packaging film and as dispersion-stabilizer of water absorbent film for hygienic products when they polymerize. |
|||
|
Sugar industry |
S-50 |
0.2%~1.0% |
As antifoaming agent it can reduce the viscosity of syrup, improve fluidity, then reducing energy consumption, increase efficiency and sugar yield. |
|||
|
Ink |
S-110 |
0.3%~0.5% |
Improve gloss, adhesion, fluidity and spread uniformity. |
|||
7. Notes:
7.1 Sucrose fatty acid ester has hygroscopicity and easy to lump. Please avoid direct sunlight, keep away from humidity and high temperature, and store in a cool and dry place.
7.2 After opening the sucrose fatty acid ester for use, fasten the bag with a belt. If the product becomes damp and lump, there is no problem in quality during the product warranty period.
7.3 Sucrose fatty acid ester is flammable and with the risk of dust explosion. Avoid fire sources. The measures of reducing dust generation, eliminating static electricity or adding inert gas can be taken according to the actual situation.
8. Packaging
25kg/bag or drum, or according to customer requirements.
9. Shelf life
24 months.

中文版
English
日本語(yǔ)
Fran?ais
Pусский
Espa?a

Mobile version
Micro station