- High Purity Sucrose Ester Of Fatty Acids
- Sucrose Ester Of Fatty Acids S-CM
- Sucrose Ester Of Fatty Acids
- Compound Food Additive
- 2,3,4,6-Tetra-O-Benzyl-D-Glucopyranose
- 2,3,4,6-Tetra-O-Benzyl-D-Galactose
- Mono-Acetone-D-Glucose
- Diacetone-D-Glucose
- Methyl?α-D-Mannopyranoside
- 1,2,3,4-Tetra-O-acetyl-β-D-glucuronic acid methyl ester
Cosmetic Raw Materials
High Purity Sucrose Esters of Fatty Acids
Raw material submission code:008560-02613-1630
Synose sucrose esters of fatty acids is made from natural sucrose and fatty acids, which derived from vegetable oil. It is synthesized by solvent-free method, with the process of refining and purification.
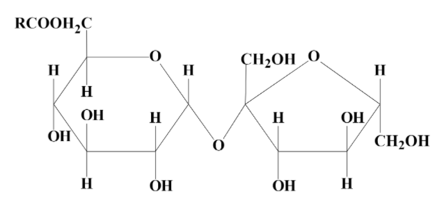
1. Chemical structure
The sucrose molecule contains eight hydroxyl groups and can combine with fatty acids to form sucrose esters from mono-fatty acids to octa-fatty acids. Its chemical structure is as follows:
.png)
CAS No.:37318-31-3/ 25168-73-4/26446-38-8.
2. Characteristic features:
2.1 White to light yellow powder, tasteless or slightly lipid taste, it is dispersible or dissolved in water, and easily soluble in organic solvents such as hot ethanol.
2.2 Sucrose esters of fatty acids is a non-ionic surfactant, which is stable under weak acid or weak base conditions. It contains a strong hydrophilic sucrose hydroxyl group and a lipophilic fatty acid group, so it is an excellent emulsifier.
2.3 Compared with other edible emulsifiers, it has a wider HLB value (1-18) and has good functional properties. It has good synergistic compatibility when used together with other surfactants.
2.4 It has excellent biodegradability, the degradation products are harmless and will not cause environmental pollution.
2.5 It is non-toxic, it is safe to eyes, skin and mucous membranes, and is suitable to use in cosmetics.
2.6 It is mainly used as emollient, emulsifying, skin conditioning and surfactant in cosmetics.
3. Types of Synose Sucrose esters
|
Product |
Synose type |
HLB |
Mono-ester |
Appearance |
|
Sucrose stearate |
S-10 |
1 |
approx.1% |
powder or granule |
|
S-20 |
2 |
Approx10% |
powder or granule |
|
|
S-30 |
3 |
approx.20% |
Powder |
|
|
S-50 |
5 |
approx.30% |
Powder |
|
|
S-70 |
7 |
approx.40% |
Powder |
|
|
S-90 |
9 |
approx.50% |
Powder |
|
|
S-110 |
11 |
approx.55% |
Powder |
|
|
S-150 |
15 |
approx.70% |
Powder |
|
|
S-160 |
16 |
approx.75% |
Powder |
|
|
S-180 |
18 |
approx.85% |
Powder |
|
|
Sucrose palmitate |
P-10 |
1 |
approx.1% |
powder or granule |
|
P-50 |
5 |
approx.30% |
Powder |
|
|
P-150 |
15 |
approx.70% |
Powder |
|
|
P-160 |
16 |
approx.80% |
Powder |
|
|
P-180 |
18 |
approx.90% |
Powder |
4. Amount added in Cosmetics:
|
Product |
maximum historical usage of rinsing products(%) |
maximum historical usage of resident products(%) |
|
Sucrose stearate |
16 |
6.5 |
|
Sucrose palmitate |
5 |
4.5 |
5. Uses and Functions in Cosmetics:
|
Application |
Synose Sucrose Ester |
Effects |
||
|
Type |
Dosage(%) |
|||
|
Face cream, facial mask, eye cream, hand cream, lotion, etc. |
S-10~S-180、P-10~P-180 |
0.5%~4.5% |
Bring good stretch ability without stickiness; Protect sebum, prevent skin dehydration, moisturize and regulate skin. |
|
|
Facial cleanser, toothpaste, makeup remover,shower gel, etc. |
S-150~S-180 |
0.5%~10.0% |
No irritation to the skin; give good foaming properties and enhances the cleaning effect. |
|
|
P-150~P-180 |
0.5%~5.0% |
|||
|
S-10~S-180、P-10~P-180 |
0.5%~4.5% |
No irritation to the skin; Protect sebum, prevent skin dehydration, moisturize and regulate skin. |
||
|
S-10~S-180、P-10~P-180 |
0.5~4.5% |
As an emulsifier or dispersant, it gives the hair various beneficial properties, such as good crimp, increasing the softness, smoothness and gloss of the hair,etc. |
||
|
Lipstick, lipstick, lip glaze, etc. |
S-10~S-70 P-10~P-50 |
0.5%~4.5% |
No irritation to the skin; bring the product better ductility and compatibility. |
|
6. Notes:
6.1 Sucrose esters of fatty acids has hygroscopicity and easy to lump. Please avoid direct sunlight, keep away from humidity and high temperature, and store in a cool and dry place.
6.2 After opening the sucrose esters of fatty acids for use, fasten the bag with a belt. If the product becomes damp and lump, there is no problem in quality during the product warranty period.
6.3 Sucrose esters of fatty acids is flammable and with the risk of dust explosion. Avoid fire sources. The measures of reducing dust generation, eliminating static electricity or adding inert gas can be taken according to the actual situation.
7. Packaging
1kg×20bag/case, 25kg/bag or drum, or according to customer requirements.
8. Shelf life
24 months.
中文版
English
日本語(yǔ)
Fran?ais
Pусский
Espa?a

Mobile version
Micro station